应用数学与交叉科学研究中心复杂网络团队于2023年12月22日举行第四十期研究生论坛,小组全体成员和各位导师共同参加。在这次组会上,由一名研一员工和两名研二员工分别汇报自己的研究进展,然后老师与同学们对汇报内容进行学术探讨,并对存在的问题给出相应的指导和建议。
黄海芳 :本次主要汇报了近期工作,首先介绍了二叉搜索树(Binary Search Tree)算法,简写BST,是满足某些条件的特殊二叉树。任何一个节点的左子树上的点,都必须小于当前节点。任何一个节点的右子树上的点,都必须大于当前节点。任何一棵子树,也都满足上面两个条件。另外二叉查找树中,是不存在重复节点的。接着讲了最近的难点与困惑,发现程序中出现的错误。

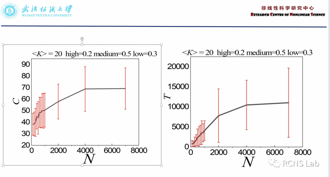
穆添歌:汇报了近期的工作,介绍了“Overlap census”算法,并用这个方法对国内的15个城市合理应用,找出了具有相似特征的城市群体。这项研究强调了全面评估城市所有交通系统的重要性,以更好地识别和比较其可持续和多模式联运的潜力。并使用多层网络理论开发了一种城市指纹技术,用于描述不同运输层之间的互联方式,识别多模式交通的潜力。通过对得到的城市指纹进行聚类分析,发现不同类型的城市,反映出它们的交通重点。

黄文丽:本次汇报了一篇文献《Analysis of a fractional SEIR model with treatment》。本文主要讨论由分数阶微分方程组成的模型来描述某些流行病的动力学。人群分为易感、暴露、感染和恢复(SEIR),并有治疗政策。我们提出了一个分析研究,并表明该模型有两个平衡点(无病平衡点和地方病平衡点)。证明了这两种情况的局部渐近稳定性。最后我们关注的是最小化治疗成本,同时减少感染该疾病的个体数量,引入了最优控制。最后通过数值模拟来验证本文的结论:在系统中引入控制后,感染者的恢复时间缩短,易感个体感染减少。

----------员工汇报照片----------


